【数据挖掘实战】(一)——基于KMeans算法对超市客户进行聚类分群

一、研究背景

超市作为零售业的主要形式之一,在现代都市生活中扮演着重要角色。随着社会经济的发展和消费者需求的变化,超市经营者越来越意识到了客户细分的重要性。不同的客户群体有着不同的购物习惯、消费行为和偏好,了解并满足不同客户群体的需求,可以帮助超市提供更加个性化的服务和商品推荐,从而提升客户的满意度和忠诚度,促进超市的经营发展。

为了实现客户细分,研究者和业界常常采用聚类分析的方法。KMeans算法作为一种常见的聚类算法,具有计算效率高、易于理解和实现的优点,被广泛应用于客户细分领域。

因此,本实验旨在使用KMeans算法对超市客户进行聚类分群,从而识别出不同的客户群体,并分析这些群体的特征和行为习惯。通过这种客户细分的方式,超市经营者可以更好地了解其客户群体,优化产品陈列和推广策略,提供更加个性化的购物体验,增加客户的购买频率和客单价,从而实现超市业务的增长和盈利能力的提升。

二、算法原理

k-means算法是一种简单的迭代型聚类算法,采用距离作为相似性指标,从而发现给定数据集中的K个类,且每个类的中心是根据类中所有值的均值得到,每个类用聚类中心来描述。对于给定的一个包含n个d维数据点的数据集X以及要分得的类别K,选取欧式距离作为相似度指标,聚类目标是使得各类的聚类平方和最小,即最小化。

结合最小二乘法和拉格朗日原理,聚类中心为对应类别中各数据点的平均值,同时为了使得算法收敛,在迭代过程中,应使最终的聚类中心尽可能的不变。

K-means是一个反复迭代的过程,算法分为四个步骤:

1)选取数据空间中的K个对象作为初始中心,每个对象代表一个聚类中心;

2)对于样本中的数据对象,根据它们与这些聚类中心的欧氏距离,按距离最近的准则将它们分到距离它们最近的聚类中心(最相似)所对应的类;

3)更新聚类中心:将每个类别中所有对象所对应的均值作为该类别的聚类中心,计算目标函数的值;

4)判断聚类中心和目标函数的值是否发生改变,若不变,则输出结果,若改变,则返回2)。

三、实验步骤

3.1加载数据集

首先导入本次实验用到的第三方库和数据集

import pandas as pd
import numpy as np
import matplotlib.pyplot as plt
import seaborn as sns
sns.set(font='SimHei')
import warnings
warnings.filterwarnings('ignore')

# 读取数据
data = pd.read_csv('Mall_Customers.csv')
data.head()

使用shape属性查看数据大小

​使用info函数查看数据基本信息

​3.2数据预处理

这里我们需要将性别变量进行编码转化

3.3确定聚类参数k

方法1:肘部法则

肘部法则(Elbow Method)是一种常用于确定KMeans聚类算法中参数K的方法。该方法通过绘制不同K值对应的聚类误差(通常是SSE,Sum of Squared Errors)的折线图,来寻找一个“肘点”,该点对应的K值即为较为合适的聚类数。

以下是使用肘部法则确定K的步骤:

  1. 选择一定范围的K值:首先,确定一个K值的范围,一般从较小的K开始,例如1到10或者更大的范围,具体根据问题的复杂程度而定。
  2. 计算聚类误差(SSE):对于每一个K值,使用KMeans算法进行聚类,并计算每个数据点到其所属簇中心的距离之和的平方,即SSE。SSE是衡量聚类效果的指标,表示样本点与其所属簇中心的紧密程度。
  3. 绘制肘部法则图:将不同K值对应的SSE绘制成折线图(K-SSE曲线图)。横坐标为K值,纵坐标为对应的SSE值。
  4. 寻找“肘点”:观察K-SSE曲线图,通常会出现一个明显的拐点,即曲线从下降阶段转为平缓下降或持平阶段的位置。这个拐点所对应的K值,即为肘部法则确定的较为合适的聚类数。

请注意,肘部法则并不是一个绝对准确的方法,有时候K-SSE曲线可能没有明显的肘点,或者存在多个肘点。在实际应用中,我们可以结合领域知识和业务需求,综合考虑选择最合适的K值。另外,还可以尝试其他聚类评估指标(如轮廓系数、DBI等)来辅助确定最佳的K值。

from sklearn.cluster import KMeans
new_df = data.drop('CustomerID',axis=1)
# 肘部法则
loss = []
for i in range(2,10):
model = KMeans(n_clusters=i).fit(new_df)
loss.append(model.inertia_)

plt.plot(range(2,10),loss)
plt.xlabel('k')
plt.ylabel('loss')
plt.show()
​

方法2:轮廓系数

轮廓系数(Silhouette Coefficient)是一种用于评估聚类质量的指标,可以帮助确定KMeans聚类算法中最佳的聚类数K。它结合了聚类的紧密度(簇内样本距离平均值)和分离度(不同簇之间样本距离平均值),从而提供一个综合的聚类效果评估。

轮廓系数的计算过程如下:

  1. 对于每个数据点,首先计算它与同簇其他数据点的平均距离,称为a(簇内紧密度)。
  2. 然后,对于每个数据点,计算它与其他簇中所有数据点的平均距离,找到其中最近的一个平均距离,称为b(簇间分离度)。
  3. 计算每个数据点的轮廓系数:s = (b – a) / max(a, b)
  4. 对于整个数据集,计算所有数据点的轮廓系数的平均值,作为整个聚类的轮廓系数。

轮廓系数的取值范围在-1到1之间:

  • 如果轮廓系数接近于1,则表示簇内样本紧密度高,簇间分离度较好,聚类效果较好。
  • 如果轮廓系数接近于-1,则表示簇内样本紧密度较低,簇间分离度不好,聚类效果较差。
  • 如果轮廓系数接近于0,则表示簇内外样本的距离相差不大,聚类效果一般。

通常来说,较高的轮廓系数意味着更好的聚类效果。在使用轮廓系数确定K值时,我们可以尝试不同的K值,计算对应的轮廓系数,选择轮廓系数最大的K值作为最佳的聚类数。但是,需要注意的是,轮廓系数也有一定的局限性,特别是在数据分布不均匀或者聚类间有重叠的情况下,可能不适用于评估聚类效果。因此,综合考虑多种评估指标和领域知识,能够更全面地确定最佳的聚类数。

# 轮廓系数
from sklearn.metrics import silhouette_score
score = []
for i in range(2,10):
model = KMeans(n_clusters=i).fit(new_df)
score.append(silhouette_score(new_df, model.labels_, metric='euclidean'))

plt.plot(range(2,10),score)
plt.xlabel('k')
plt.ylabel('silhouette_score')
plt.show()

通过两种方法的结合,我们观察出最佳的聚类个数应该为k=6。

3.4 kmeans聚类

from sklearn.metrics import silhouette_score
kmeans = KMeans(n_jobs = -1, n_clusters = 6, init='k-means++')
kmeans.fit(new_df)
print(silhouette_score(new_df, kmeans.labels_, metric='euclidean'))
0.45206493204632353

将聚类结果进行可视化展示

clusters = kmeans.fit_predict(data.iloc[:,1:])
new_df["label"] = clusters
fig = plt.figure(figsize=(21,10))
ax = fig.add_subplot(111, projection='3d')
ax.scatter(new_df.Age[new_df.label == 0], new_df["Annual Income (k$)"][new_df.label == 0], new_df["Spending Score (1-100)"][new_df.label == 0], c='blue', s=60)
ax.scatter(new_df.Age[new_df.label == 1], new_df["Annual Income (k$)"][new_df.label == 1], new_df["Spending Score (1-100)"][new_df.label == 1], c='red', s=60)
ax.scatter(new_df.Age[new_df.label == 2], new_df["Annual Income (k$)"][new_df.label == 2], new_df["Spending Score (1-100)"][new_df.label == 2], c='green', s=60)
ax.scatter(new_df.Age[new_df.label == 3], new_df["Annual Income (k$)"][new_df.label == 3], new_df["Spending Score (1-100)"][new_df.label == 3], c='orange', s=60)
ax.scatter(new_df.Age[new_df.label == 4], new_df["Annual Income (k$)"][new_df.label == 4], new_df["Spending Score (1-100)"][new_df.label == 4], c='black', s=60)
ax.scatter(new_df.Age[new_df.label == 5], new_df["Annual Income (k$)"][new_df.label == 5], new_df["Spending Score (1-100)"][new_df.label == 5], c='purple', s=60)
ax.view_init(30, 185)
plt.show()
​

3.5聚类结果

查看各聚类类别的个数

data['label'] = clusters
print(data['label'].value_counts())
data.head()

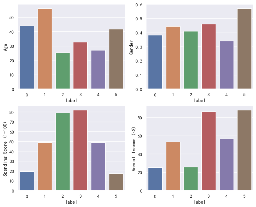
分析各类别的变量差异

avg_df = data.groupby(['label'], as_index=False).mean()
plt.figure(figsize=(10,8))
plt.subplot(2,2,1)
sns.barplot(x='label',y='Age',data=avg_df)
plt.subplot(2,2,2)
sns.barplot(x='label',y='Gender',data=avg_df)
plt.subplot(2,2,3)
sns.barplot(x='label',y='Spending Score (1-100)',data=avg_df)
plt.subplot(2,2,4)
sns.barplot(x='label',y='Annual Income (k$)',data=avg_df)
plt.show()

通过图表我们可得出以下结论:

各细分市场的主要特点

簇类0:

低收入,低消费能力。

平均年龄在40岁左右,性别以女性为主。

簇类1:

中等收入,中等消费能力。

平均年龄在55岁左右,性别以女性为主。

簇类2:

低收入,高消费能力。

平均年龄在25岁左右,性别以女性为主。

簇类3:

高收入,高消费能力。

平均年龄在30岁左右,性别以女性为主。

簇类4:

中等收入,中等消费能力。

平均年龄在30岁左右,性别以女性为主。

簇类5:

高收入,低消费能力。

平均年龄在40岁左右,性别以男性为主。

四、总结

本实验基于KMeans算法对超市客户进行了聚类分群。通过对客户购物数据进行聚类,我们成功将客户分为不同的群体。每个群体代表了具有相似购物行为和偏好的客户群体。通过实验结果,我们发现了客户群体之间的明显差异和共性。不同群体的客户在购买频率、购物金额和购买种类等方面有所区别。这为超市提供了重要的市场细分信息,帮助超市经营者更好地了解不同客户群体的需求和喜好,制定有针对性的营销策略和商品推荐,提高客户满意度和忠诚度。此外,实验还揭示了超市客户的购物行为规律,为超市优化商品陈列和促销策略提供了指导。通过针对不同客户群体推出个性化的促销活动,超市可以更有效地吸引客户,提升销售额和利润。

完整代码

钻石价 5 折 永久钻石免费

已有17人支付

免责申明:以上文章或网盘资源均由第三方注册用户发表,不代表本站观点,如遇侵权,请与我们联系!
寻找资源网博客 » 【数据挖掘实战】(一)——基于KMeans算法对超市客户进行聚类分群

发表回复

提供最优质的资源集合

立即查看 了解详情